FFT
Fourier series
- Periodic signal을 periodic signal의 합으로 나타내자.
Fourier transform
-
Fourier series의 확장버전(비주기함수에 대한 fourier series라 볼 수 있다. )
-
주기를 무한대로 볼때, aperiodic signal을 aperiodic signal의 합으로 나타내자.
-
Fourier transform을 통해, 변환 전값과 변환 후 값이 1대1대응을 이룬다.
-
아이디어
\[a_k = {\frac{1}{T_0} \int_\frac{-T_0}{2}^\frac{T_0}{2} \! x_{T_0} \mathrm{e}^{-jk\omega t}\, dt }\]주기신호의 주기를 무한대로 보내서 비주기신호로 보겠다 라는 아이디어
퓨리에 계수를 보니 주기가 늘어날수록 작아진다 당연히 T0를 무한대로 보내면 a_K는 0으로 수렴한다.
하지만, T0a_k 그래프를 보면, 주기가 무한대로 발산해도 값이 실수값을 가진다.



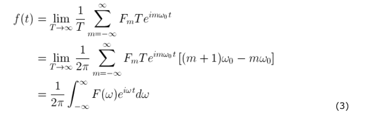
Derivation of FT and IFT
- 비주기 신호에 관한 퓨리에 시리즈가 어떻게 될지 관찰해보자
- 이때, 극한을 취하면 다음과 같이 나타날 수 있다.
-
x(t)를 가지고 X(w)를 만든다. 일대일 대응을 이루기 떄문에 역방향으로도 표현가능하다.
-
각각 내적을 해보면서 느린애도 내적해보고 빠른애도 내적해보고, 어떤 주파수와 닮았는지 확인하는 과정이다.
contribution(a_k)

다음과 같은 주파수의 100hz의 contribution은 얼마인가?
바로 넓이 -> 밀도를 이야기하는것 , 마치 확률밀도함수 같은것 !!
//FT of delta function//
Discrete Time Fourier Series
\[x_{T_0}(t) = \displaystyle\sum_{k=-\infin}^{\infin}{a_k e^{jk\omega_0t}} \\ x_N[n] = \displaystyle\sum_{k=-\infin}^{\infin}{a_k e^{jk\frac{2\pi}{N}n}} \\\]- 여기서 중요한것은, k = 1일때 , k = n + 1일때, 기저벡터가 일치한다는 것이다.
-
basis가 반복이 되니까, 결국 실질적으로 구성되는 basis는 n개뿐이다. n주기를 가지고 반복된다
- 이번에는 ak를 구하기 위해서 각 기저벡터를 내적해보자.
- k = r일때만 값이 0 이 아니다. 따라서,
Discrete Time Fourier Transform
- 그전과 똑같이 비주기 함수는 주기함수의 주기를 무한대로 발산시켰을때의 함수라고 보자.
- 주기를 늘리기전과 후의 결과값 비교!


Discrete Fourier Transform
- 실제로 컴퓨터에서 써먹을 수 있다. (디지털 도메인에서 활용가능)
- discrete transform 해서 discrete 한값이 output으로 나온다. (CTFS, DTFS든 output이 연속적인 값이였다.)
- 정의 : 0 ~ N-1까지 값을 가지는 x[n]을 dtft한 다음 2pi/n간격으로 값을 뽑는다.(sampling과는 다르다.)
DFT matrix
\[X_K= {\sum_{n = 0}^{N-1}x[n]{e}^{-jk\frac{2\pi}{N}n}\ }\]-
k를 바꿔가면서 내적을 한다 -> 다음과 같이 행렬로 나타낸다
-
예시(3개의 데이터를 넣고, 3개의 값을 받는다.)


-

- Orthogonal -> orthonormal한 벡터를 column으로 가지고 있는 행렬
- unitary matrix로 만들면 장점이 있다. -> IDFT를 구하기 매우 쉽다. (복소수의conjugate 성질에 의해)
제한시간이 1초일 경우, N의범위에 따른 시간복잡도 선택
- N 의 범위가 500 인 경우
- 시간 복잡도가 O(N^3) 이하인 알고리즘을 설계
- N 의 범위가 2,000 인 경우
- 시간 복잡도가 O(N^2) 이하인 알고리즘을 설계
- N 의 범위가 100,000 인 경우
- 시간 복잡도가 O(NlogN) 이하인 알고리즘을 설계
- N 의 범위가 10,000,000 인 경우
- 시간 복잡도가 O(N) 이하인 알고리즘을 설계
- N 의 범위가 10,000,000,000 인 경우
- 시간 복잡도가 O(logN) 이하인 알고리즘을 설계

- 시간 복잡도가 O(logN) 이하인 알고리즘을 설계
FFT
다항식 곱과 비슷하다.~
다항식곱은 계수만 작업해서 필요하다~~
시간복잡도 -> $d^2
일대일 대응이다 그림과 ~~
행렬로 쓰면 -> 역변환이 가능하다는 점이 장점
coefficiendt representation
value representation
magical ??
이렇게 시간복잡도를 줄이는 구나~~
PSD
-
신호의 크기를 제곱평균으로 표현한것
-
수학적인 의미에서 제곱평균은 파워를 의미한다….
-
주파수도메인에서 표현
-
used to characterize random vibration signals
-
used to characterize broadband random signals.
-
a PSD has amplitude units of g2/Hz
-
results in the real only spectrum of amplitude in g2.
-
his amplitude value is then normalized to the frequency bin width to get units of g2/Hz.
we get rid of the dependency on bin width so that we can compare vibration levels in signals of different lengths.(장점)
-
FFT는 여러 성분의 정현파 진동 해석에 효과적이긴 하나 랜덤 진동에서는 PSD 분석이 효과적이다.
-
복소수 성분과 곱해서 진폭의 실수값 (g^2) 를 만들어주며 주파수 레졸루션 으로 나주어 준다 (g^2/Hz).-> 주파수 레졸루션에 대해서 비의존적이어서 다른 데이터의 개수를 가지는 신호의 진동 수준을 비교하기에 유용하다.
-
나이키스트 주파수 오천까지 보면 샘플수가 많을수록 (즉 샘플 시간이 길어질수록) FFT의 진폭이 크게 감소하게되는데 ( FFT의 bin width 가 줄어들기 때문) 반면에 PSD는 큰 변화가 없다. 게다가 FFT 결과는 2천 Hz 이후에는 샘플 개수에 따라 진폭이 급격히 변화하는데 PSD는 큰 변화가 없다. 즉 랜덤데이터 분석시에 PSD는 샘플 시간에 의존적이지 않으나 FFT는 의존적이다.
-
As you see, the PSD of different signal lengths just fills in this area but the amplitude doesn’t change overall. The FFT amplitude however shifts down as the bandwidth is increased.
-
에너지 -> 제곱값
-
제곱을 해준다는것 자체가 양수로 만들어준다는것
-
주기적인 신호에 대해서는 에너지가 무한이 자동으로 되므로 의미가없다. 따라서, E/T가 의미가있어진다
-
비주기신호같은경우는 에너지가 의미가 있고, 에너지가 유한하다.
-
에너지 -> 파워 0
-
주기신호 -> 파워를 구하는게 의미있다
-
비주기신호 -> 에너지 구하는게 의미있다
-
주파수별로 어떤식읋 에너지분포
-
파워스펙트럼? 왜 덴시티라는 말이 붙냐면 , 적분하는 순간, 이 안에 얼마만큼의 파워가 들어가는지 알 수 있다. 하나의 밀도 형태
-
주기신호가 있으면 파워가 관심이 있어지고, psd가 가능해진다
-
비주기신호 -> 에너지 스펙트럴 덴시티가 된다
-
주기신호 -> 퓨리에 시리즈함
-
비주기신호 -> 퓨리에변환
-
왜 psd가 필요할까? 내가 원하는 구간에서의 주파수나 파워를 구할수있음
-
orthogonality ->
-
주파수 분석을 했는데, 구간을 나누었어, `
-
t-domain, f-domain 와리가리 해서 퓨리에 시리즈의 contribution으로, 파워를 구할 수 있다. 그래서, 특정 주파수의 들어있는 파워를 구할 수 있게된다…
-
퓨리에 시리즈와 퓨리에 변환은 주파수도메인과 타임도메인을 왔다갔다 하는것, 에너지나 파워자체는 변하지 않는다…
-
주파수를 구간별로, 내가 관심이 있는 주파수 구간으로 파워나 에너지를 구할 수 있다는게 핵심
-
어떤식으로 에너지와 파워가 분포가 되어있는지를 알아야 할떄가 있다. 그때가 언제인가? 이퀄라이져, 고주파의 비율과 저주파의 비율을 맞춘다…
-
mass -> density, energy/power -> psd, esd 필요
-
주기적인 성부 -> 파워가 의미있다…
-
왜 psd는 샘플시간에 영향을 받지 않을까?? 그게 정말 궁금하네… ㅋㅋㅋ … ㅋㅋㅋ…
-
왜 g^2 / hz로 단위가 되는것일까? 정말 이해가 안되긴하네?
-
fft에서의 contribution값 g는 도대체가 뭐야?
-
시간도메인에서 주파수도메인으로 진동을 변환할 때, g값에너지를 어떻게 처리할 것이냐? 그때, 왜 샘플링의 개수에 따라서 바뀌는거지?
-
문제는 샘플링 횟수, 샘플링 폭에 따라서 RMS값이 달라진다.
-
왜 fit 샘플링 횟수 많아지면은 ,….. 음 ? 값이 줄어들어??
궁금한점
- scipy, welch’s method를 이용할때의 차이점?
Leave a comment